2024년 시간선택제 공무원 월급 채용 특수직무수당 급여
요즘 유행어 중에 워라밸이라는 말이 있습니다. 워라밸의 뜻은 워킹 라이프 밸런스로 일과 인생의 균형을 중시하는 요즘 세태를 반영하고 있습니다. 그러다 보니 공무원 중에서 시간선택제 공무원이 주목받고 있습니다.
오늘 이 글에서는 시간선택제 공무원 월급에 대해서 살펴보겠습니다.
편의점 아르바이트로 치면 파트타임 아르바이트 격인 이 시간선택제는 이름 때문에 받는 오해가 있습니다.
"내가 원하는 시간에 자유롭게 일하는 공무원 아냐?"
아닙니다.
시간선택제 제도는 경력단절 여성들이 일과 가정을 병행할 수 있고, 공공부문 고용률 70% 달성하여 양질의 일자리를 나누는 취지로 2014년에 처음 도입된 제도입니다.

이 취지대로라면 시간을 자유롭게 선택할 것처럼 오해받기 쉽습니다. 이 제도는 양질의 일자리를 나눈다는 취지에도 방점이 찍혀 있고 관리의 편의를 위해서 대체로 근무시간은 정해져 있습니다.
규정은 주당 15시간 이상 30시간이하에서 임용 권한자가 지정할 수 있습니다.
하지만, 파트타임으로 1 사람의 일자리를 2자리로 나눈 취지이므로 대부분 절반으로 나눴다고 보면 됩니다.
시간선택제 근무시간은 주당 20시간인 정규직 공무원의 절반입니다. 이른바 오전반 공무원, 오후반 공무원입니다.
주당 20시간이면 1일 4시간을 근무합니다. 오전근무자는 9시 출근 2시 퇴근, 오후 근무자는 2시 출근 6시 퇴근입니다. 오전근무자가 1시간 더 근무하는 것처럼 보이지만... 점심시간이 포함되어 그렇습니다. 근무시간이 절반인 만큼 시간선택제 공무원 급여도 절반입니다.
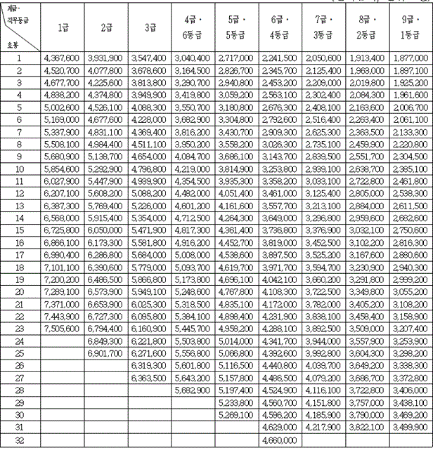
2024년 시간선택제 공무원 봉급표는 어떻게 될까요?

시간선택제 급여표가 따로 존재하지는 않습니다. 해당 직렬 공무원 봉급표의 봉급에 비례해서 보수가 지급됩니다.
즉 9급 공무원이라면 1호봉일 때 받는 기본급이 187만 원이면 시간선택제로 채용된 공무원은 그 절반인 93만 5천 원을 받게 됩니다.
나머지 수당도 마찬가지로 절반이 됩니다.

가족수당, 자녀 학비보조수당은 종일제 공무원과 동일한 금액이 지급됩니다. 거기에 추가로 특수직무수당이라는 수당이 추가 지급됩니다.
그러해서 실수령액은 155만 원 정도가 됩니다.
이 모든 취지에도 불구하고.... 시간선택제로 임용된 공무원 중에서 육아 등의 이유로 지원한 공무원은 6% 미만이라고 합니다.
나머지는 취준생들이 취직을 위한 지원으로 전일제 공무원으로 채용이 안되니까 시간제 공무원으로 취직한 형태가 대다수를 차지한다고 합니다.
그런데도 불구하고, 이들 시간제 공무원은 급여에서 차별을 받고 있다는 것에 불만을 갖는다고 합니다. 시간제 공무원도 공무원으로서의 신분과 정년이 보장되며, 승진 및 호봉 승급이 이뤄집니다.
2016년까지는 호봉승급도 시간에 비례했지만, 요즘은 전일제 공무원과 마찬가지로 1년 단위로 호봉승급이 이뤄지고 있습니다.
그러함에도 이들은 옆에서 일하는 전일제 공무원에 비해서 승진 등에서 차별을 받고 있다고 하소연하고 있습니다.


물에 빠진 사람 건져주니... 보따리까지 내놓으라는 심뽀는 어찌할 수가 없나 봅니다. 시간제 공무원이 전일제로 전환하려면 새로 전일제 공무원 임용 시험을 거쳐야 합니다. 그게 부당하다는 게 참 납득하기 힘드네요.
정작 그 자리를 필요로 하는 사람들의 기회를 뺐고, "저 자리라도..."라고 생각하면서 자리 차지하고 저런 소릴 하다니 참 어처구니가 없습니다.
시간제 공무원 선발 대상을 경력단절 여성으로만 국한하거나, 시간선택제 공무원 폐지라고 그 인력의 절반만큼의 전일제 공무원을 뽑아야 할 것입니다.
'직업 공무원 경제 정보' 카테고리의 다른 글
| 부처님 오신날 대체공휴일 관련 은행, 병원, 주식, 택배 운영 여부 학교 쉬나요? (0) | 2024.04.20 |
|---|---|
| 군인, 교육, 교사, 남자 공무원 휴직 규정 (질병휴직,유학, 가사, 간병, 난임, 육아 휴직, 무급휴직 등) & 급여 with 군인사법 (0) | 2024.04.17 |
| 검찰 조직도와 검사 계급 순위 해설 (0) | 2024.04.05 |
| 공무원 가족수당 지급액과 지급 기준 (0) | 2024.04.01 |
| 판사와 검사의 직급보조비 (0) | 2024.03.20 |
댓글