2024년 군인 월급 분석
2024년 군인 월급이 어떻게 변화했는지 자세히 알아보겠습니다. 2017년 이후로 군인 월급은 꾸준히 증가해 왔으며, 2024년 현재 병장 월급은 자산형성프로그램을 포함해 165만 원에 이르렀습니다. 이는 군인 월급 인상 정책의 결과로, 2025년에는 최대 205만 원까지 인상될 전망입니다. 이번 글에서는 각 계급별 군인 월급과 임금 인상에 따른 자산형성 프로그램을 분석해 보겠습니다.
군인 월급 인상 배경
최근 군인 월급 인상은 병역의무 이행에 대한 보상과 예우를 강화하기 위한 조치로 설명됩니다. 병장 기준 월 125만원으로 인상된 군인 월급은 군복무의 가치를 재평가하고, 병사들의 사기를 높이기 위한 의도입니다. 그러나 이러한 급여 인상에 대한 여론은 다양합니다. 일부는 군인도 직업인으로서 적절한 급여를 받아야 한다고 주장하는 반면, 다른 일부는 진짜 직업군인인 간부들의 사기가 저하될 수 있다는 우려를 표합니다.
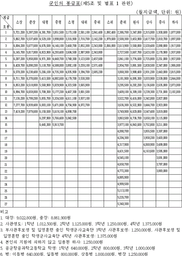
계급별 군인 월급 2024 군인 봉급표

2024 병사 월급
병사들의 계급별 월급은 다음과 같습니다:
- 이병: 64만원
- 일병: 80만 원
- 상병: 100만 원
- 병장: 125만 원
2023년 대비 병사의 월급은 최소 4만 원에서 최대 25만 원까지 인상되었습니다.
부사관 월급
부사관의 경우, 1호봉 1년 차 기준 월급은 다음과 같습니다:
- 하사: 187만 원
- 중사: 193만 원
- 상사: 232만 원
부사관 월급은 직급과 경력에 따라 차등 지급됩니다.
위관장교 월급
위관장교의 월급은 다음과 같습니다:
- 소위: 189만 원
- 중위: 204만 원
- 대위: 258만 원
위관장교 역시 경력에 따라 월급이 차등 지급됩니다.
영관장교 월급
영관장교의 월급은 다음과 같습니다:
- 소령: 317만 원
- 중령: 385만 원
- 대령: 438만 원
장성장교 월급
장성장교의 월급은 다음과 같습니다:
- 준장: 539만 원
- 소장: 572만 원
- 중장: 8,861,900원
- 대장: 9,022,800원
이 월급 예시는 각 계급의 1호봉 기준으로 나열한 것입니다. 군인들은 승진 시 감봉이 이루어지지 않으며, 소위도 사관학교 출신일 경우 3호봉부터 시작합니다. 실제로 소장쯤 되면 최소 10호봉에서 시작하여 월급이 700만 원 선에 이릅니다. 이는 중장 진급 시 큰 차이가 나지 않도록 하기 위함입니다.
군인 월급 인상과 자산형성 프로그램


군인 월급 인상과 더불어 자산형성 프로그램도 함께 운영되고 있습니다. 이 프로그램은 군인들이 복무 기간 동안 일정 금액을 적립하여 전역 후 목돈을 마련할 수 있도록 돕는 제도입니다. 2024년 병장 기준으로 월 165만 원을 받게 되는 이유도 이러한 자산형성 프로그램의 지원이 포함되어 있기 때문입니다.
결론
2024년 군인 월급은 병장 기준 월 125만 원으로 인상되었으며, 자산형성 프로그램을 포함하면 165만 원까지 받을 수 있습니다. 2025년에는 최대 205만 원까지 인상될 것으로 예상됩니다. 군인 월급 인상은 병역의무 이행에 대한 보상과 예우를 강화하기 위한 조치로, 군인들의 사기 진작과 복무 만족도를 높이기 위한 노력의 일환입니다.
키워드: 군인 월급, 2024년 군인 월급, 병장 월급, 군인 임금 인상, 자산형성 프로그램, 부사관 월급, 위관장교 월급, 영관장교 월급, 장성장교 월급, 군복무 보상
'직업 공무원 경제 정보' 카테고리의 다른 글
| 오늘의 금시세와 경제 동향 분석: 2024년 7월 29일 (0) | 2024.07.29 |
|---|---|
| 교사 정년퇴직 나이 (0) | 2024.07.26 |
| 근로기준법 여름휴가 연차 포함! 차감? (0) | 2024.05.15 |
| 앤디 김 하원의원 프로필, 나이, 학력, 종교, 미상원의원 출마 당선 유력 (0) | 2024.04.30 |
| 공무원 정근수당 계산법 지급시기 날짜 1월 7월 정근가산금 (0) | 2024.04.23 |
댓글