안녕하세요 나쿠입니다.
오늘도 제 우편함에는 각종 청구서만 그득합니다.
고등학생 때 가요집 뒤에 올라와 있는 펜팔 주소록을 보고 꽤나 펜팔을 했던 시절이 있었죠.
그때는 집에 들어갈 때 우편함에 한창 펜팔 하던 소녀의 편지가 와 있기를 기대하면서 두근두근했었죠.
그러나 요즘은 편지는... 받아본지가 언제인지 까마득하죠.
많은 사람들이 이제는 더 이상 편지를 쓰지 않는데 집배원 분들은 더 많은 우편물을 배달하더군요.
각종 청구서, 안내서, DM, 독촉장...
사무적인 딱딱한 우편물들이 넘치는 시대에 살고 있네요.
이메일이 그렇게 발달했지만 여전히 종이에 인쇄된 우편물이 넘쳐나는 시대인 것이죠.
덕분에 정규직 우체국 집배원 공무원 만으로 우편배달이 불가능할 정도로 인력이 달립니다.
그래서 신분이 공무원은 아니지만, 우편배달을 하는 상시 계약직 집배원을 선발해서 우편배달을 하고 있습니다.
이 두 집배원 부류는 대우가 다릅니다.
집배원 월급 체계도 다르겠죠?
구분우정직(집배)공무원상시계약집배원우체국택배원
| 고용형태 | 공무원 | 무기계약근로자 | 무기계약근로자 |
| 직무 | 우편물의 배달과 수집 | 우편물의 배달과 수집 | 소포 및 국제특급우편물 방문접수 |
| 임금수준* | 250만원(9급 1호봉) | 224만원 | 217만원 |
| 근무조건 | 국가공무원 복무규정에 따름 | 주5일, 1일 8시간 (초과근무 시 관련 규정에 따른 수당 지급) |
주5일, 1일 8시간 (초과근무 시 관련 규정에 따른 수당 지급) |
| 기타 | 4대보험, 퇴직금(1년이상), 맞춤형 복지제도 |
4대보험, 퇴직금(1년이상), 맞춤형 복지제도 |
* 임금수준은 기본급 및 각종 수당, 맞춤형복지, 상여금 등을 포함한 세전 월 평균치
2021년 상시 계약직 집배원 월급은 224만 원이 라고 합니다.
집배원 연봉은 기본급에 실적수당이 추가되고 기타 수당이 추가된 급액입니다.
바로 위 표의 수당의 급여는 기본급, 운전수당, 상시 집배 특별수당, 명절 상여금, 경평 상여금이 모두 포함된 금액입니다.
무기계약직 집배원으로 근무하다가 9급 집배 공무원 시험에 응시해서 임용이 되면 무기계약기간 동안의 근무년수와 호봉을 인정받을 수 있게 됩니다.

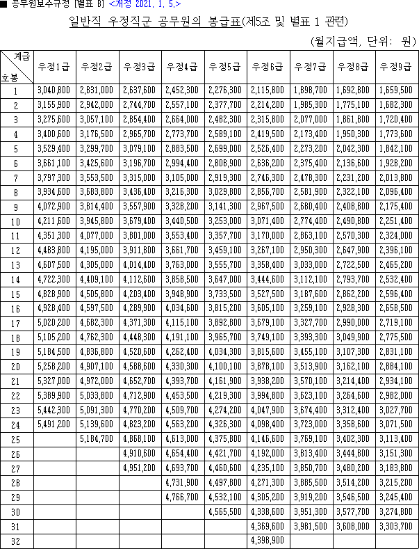
2021년 우정직 공무원의 봉급표는 다음과 같습니다.

2021 일반직 공무원 봉급표와 같이 올려놓았습니다.

5급 우정직 공무원부터는 일반직 5급 사무관 월급과 차이가 납니다만 6급까지는 일반직렬 공무원이나 우정직 공무원이나 월급의 차이가 없습니다.
2018.04.04 - [직업 공무원 경제 정보] - -우체국 집배원 공무원 & 상시계약직 집배원 월급
-우체국 집배원 공무원 & 상시계약직 집배원 월급
집배원 정의는 무엇일까? 배달을 담당하는 우체국 직원이라고 생각하시면 됩니다. 우편물 배달에 대한 업무 같은 경우에는 여러 가지 직종들이 맡고 있는 상황인데, 이 중에서 공무원에 속하는
sub2.exocet.co.kr
'직업 공무원 경제 정보' 카테고리의 다른 글
| 상호로 사업자등록 번호 조회 회사명으로 찾기 (0) | 2021.12.14 |
|---|---|
| `2021년 시간선택제 공무원 월급 채용 특수직무수당 급여 (0) | 2021.06.15 |
| 교원,교사 교육 공무원 연가일수 연가보상비 계산법 (0) | 2021.03.09 |
| 2021년 교육공무원 봉급표 2021 교사 호봉표 기간제 교원 근가 봉급표 근속가봉 호봉표 = (0) | 2021.03.04 |
| 2021년 공안직 공무원 봉급표 (교정직, 마약수사, 국회 경비 등) 2021 우정직 지도직 연구직 공무원, 국정원 직원 전문경력관 호봉표 = (0) | 2021.02.10 |
댓글