즐. SF의 아이콘 같던 2020 윈디 키디 조차 이제 고전이 돼 버린 시대인 2021년이 된 지 2달이 지나가고 있습니다.
1월 5일에 2021 공안직 공무원 봉급표가 확정 발표되었습니다.
사실 이미 확정되었던 것이나 마찬가지죠.
2021 공무원 보수규정 개정안 입법예고 과정에서 의견청취가 모두 끝나고 법제처 심의 및 국무회의 표결을 거칠 때 법제처 심의 전의 내용이 거의 확정 상태입니다.
2021년 공안직 공무원 봉급표.
교정, 검찰, 출입국 관리직 등 공공의 안녕과 질서 유지를 위한 공안직 공무원 봉급표입니다. 2020년 봉급과 비교하였을 때 대략 16,500~18,000원 정도 인상되었습니다.
특수 직무 분야의 공시가 주목을 받고 있습니다. 9급 공무원 교정직은 공안직 공무원의 하나로서, 공안직이란 국가의 안녕과 질서가 편안히 유지되도록 하는 공무원으로 일합니다.

2021 공안업무에 종사하는 공무원의 봉급표 호봉표
공안직 공무원은 마약수사, 국정원 직원, 요즘 핫한 슬 감방의 교도관인 교정직 공무원 및 국회 경위 방호업무에 종사하는 공무원 등이 포함됩니다.
상당 수의 국정원 직원도 이 봉급 체계를 따릅니다.
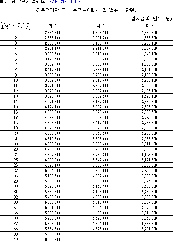
2021년 전문경력관 봉급표
전문경력관 봉급표는 국정원 직원 일부의 봉급을 포함합니다.

2021 지도직 공무원 봉급표

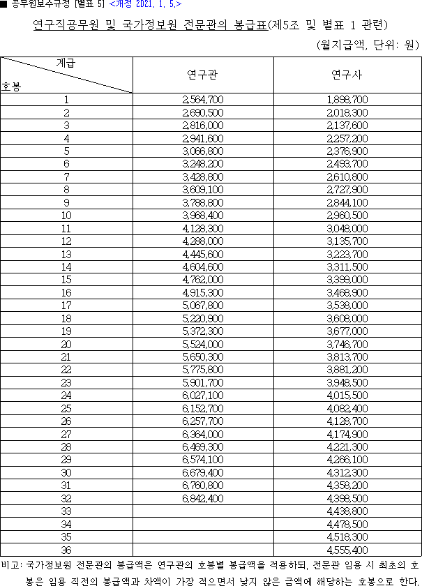
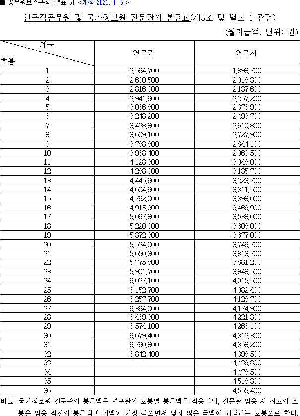
2018 연구직 공무원 봉급표

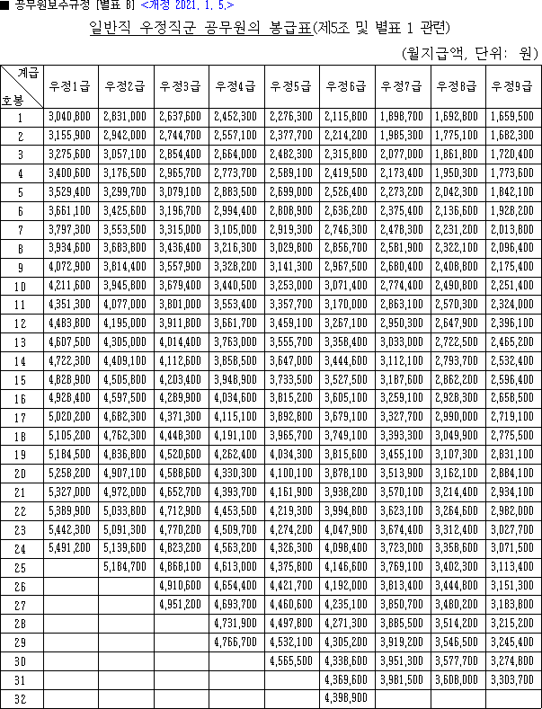
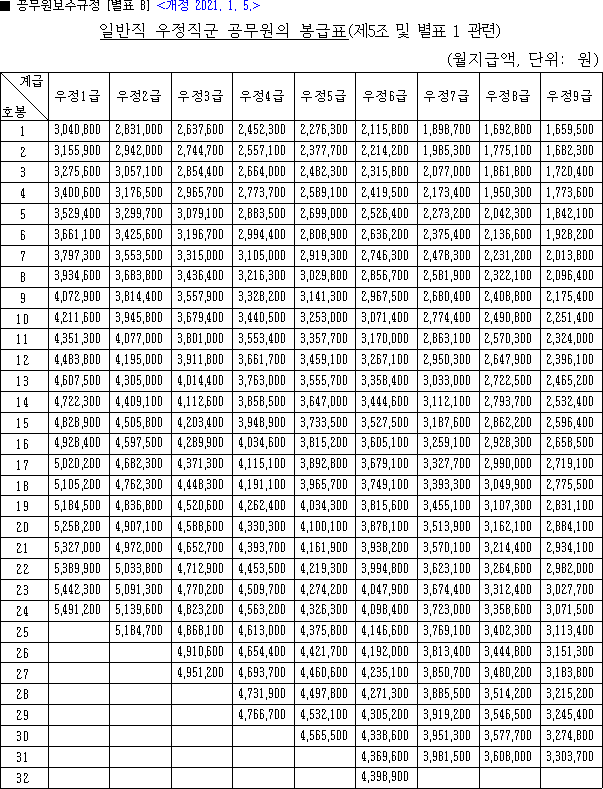
2021 우정직 공무원 봉급표

우정직 공무원은 우체국의 계리직 공무원 같은 창구 공무원을 비롯해서, 공무원 신분인 집배원 등이 해당됩니다.

공무원의 보수체계는 1년마다 호봉이 올라가는 호봉제입니다.
호봉체계에 따른 봉급표는 직종별로 다르게 되어 있고 봉급표에 나오는 봉급 외에 각종 수당이 지급됩니다.
고정급적 연봉제, 성과급여 연봉제, 직무성과급적 연봉제가 있습니다.
'직업 공무원 경제 정보' 카테고리의 다른 글
| 교원,교사 교육 공무원 연가일수 연가보상비 계산법 (0) | 2021.03.09 |
|---|---|
| 2021년 교육공무원 봉급표 2021 교사 호봉표 기간제 교원 근가 봉급표 근속가봉 호봉표 = (0) | 2021.03.04 |
| 2021년 군인 월급 2021 공무원 봉급표 (0) | 2020.10.15 |
| '2020년 공무원 초과근무수당 단가표 계산, 군인, 교사 등 2020 공무원 시간외수당 인정시간 (0) | 2020.03.25 |
| -임금피크제 폐지 대법원 판결 공공기관 먼저 (0) | 2019.11.27 |
댓글