2019년도는 기해년은 황금돼지 띠의 해였는데 2020년 경자년은 흰 쥐의 해라는군요...
쥐가 희다라...
뭔가 의미심장한 경자년년이 될 것 같네요.
벌써 10월달이네요.
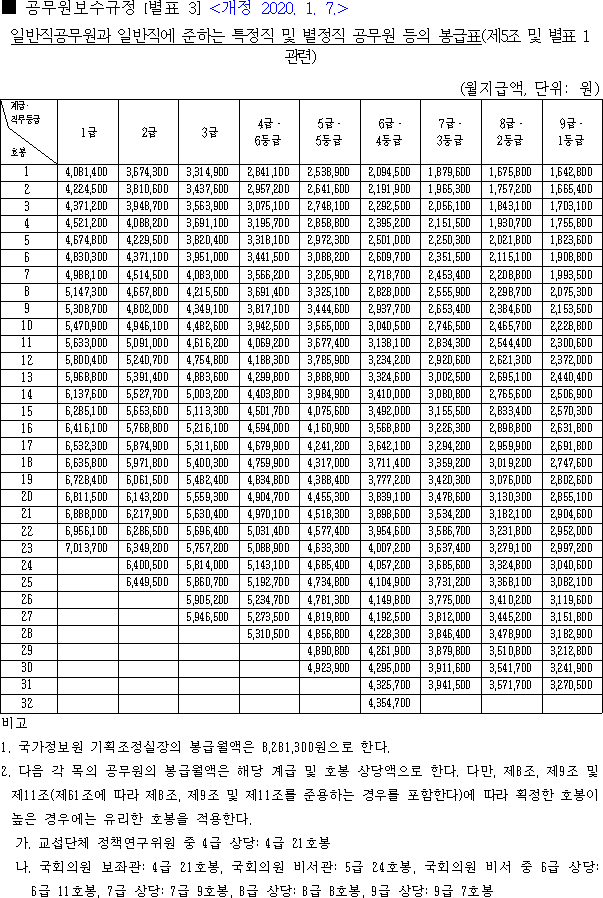
아직 공식적인 2020년 공무원 봉급표가 나오지는 않았어요.
인사혁신처의 2020년 공무원 월급표는 내년 1월초에 공식적으로 공무원 봉급표가 나올 텐데요.
인서혁신처 2020 공무원 봉급표가 나오기 전에는 정확한 내용이 어떨지 모르겠습니다만, 2020년도 공무원 봉급 인상 률은 2.8%%라죠?
그 발표를 기본으로 해서 2.8%% 인상되는 예상 2020년도 공무원 월급표를 만들어 보았습니다.
2020년 일반직 공무원 호봉표

출처 : http://cafe75.kr/

이 20년 공무원 월급표는 예전에 만들어 둔 것이라서 새로 발표될 내용과는 차이가 있을 수 있습니다...
재작년에는 처우 개선 차원에서 경사 계급의 월급 인상을 살짝 더 높게 적용이 되었는데요.
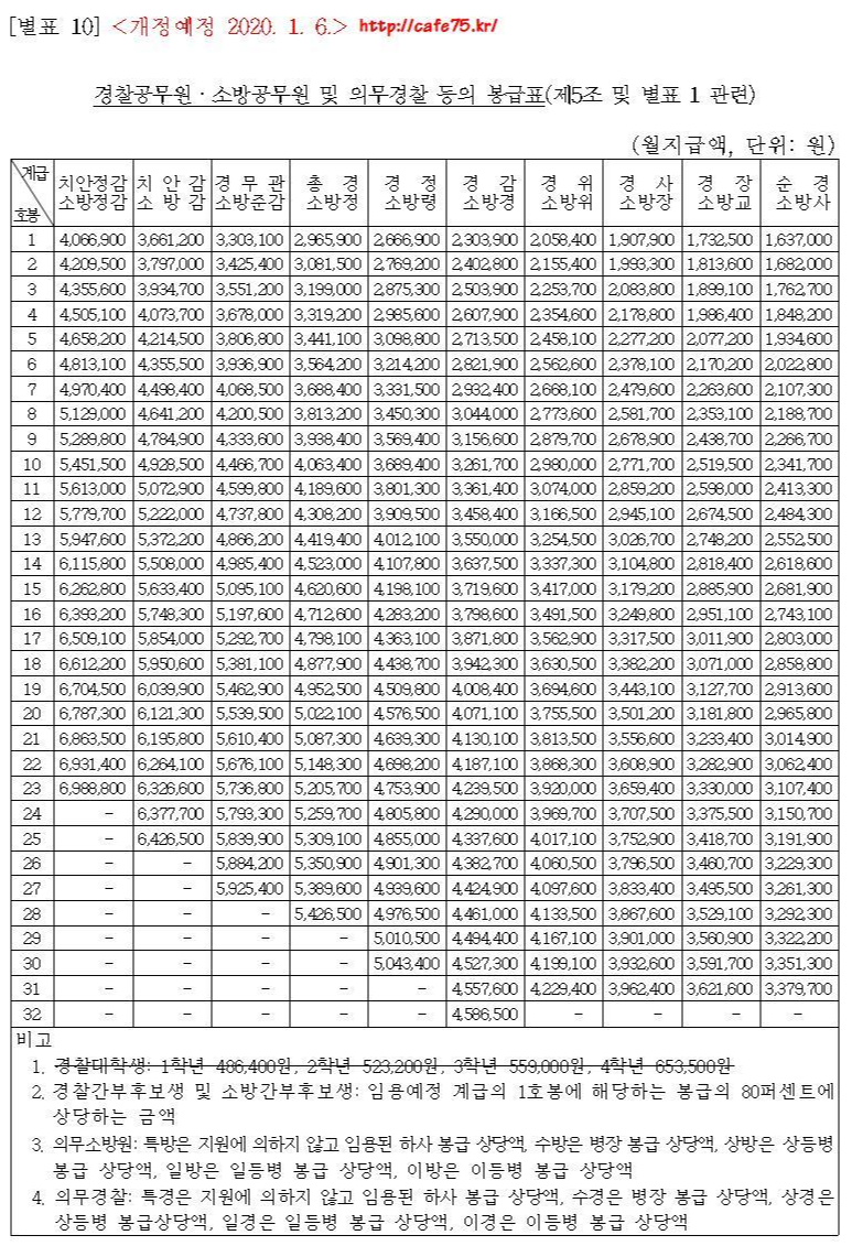
2020 경찰공무원 월급표는 일률적으로 2.8%%가 될지, 추가 적인 경찰 소방공무원 처우개선 차원에서 6급에 해당하는 소방위와 경위 월급을 좀 더 인상할 지는 지켜봐야겠군요.

2020 경찰공무원 봉급표가 나와봐야 정확히 알겠네요.

일단은 올해 대비 내년도 인상분 2.8%%를 일률적으로 적용해 보았습니다.
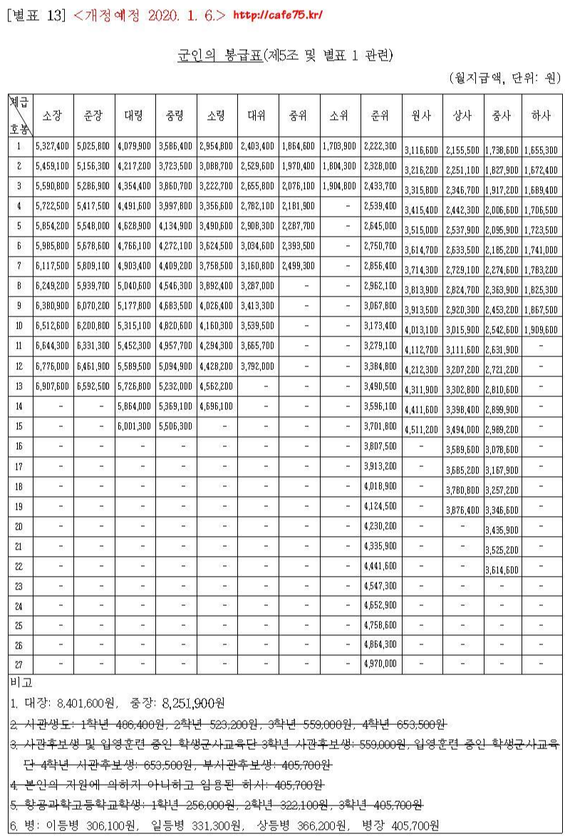
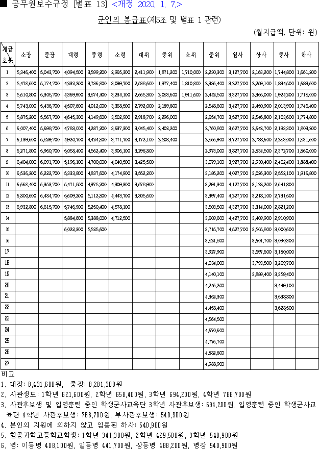
아래는 2020년 군인월급 예상 표입니다.

물론 2020 군인월급 인상률이 30%라는 뉴스 들으셨겠지만, 그건 일반 병사 봉급 인상분입니다.

워낙에 금액이 미미하니 30% 인상해도 40만원 남짓에 불과하죠.
'직업 공무원 경제 정보' 카테고리의 다른 글
| 공무원 직급보조비 정액급식비 대민활동비 특수직무수당 (0) | 2019.11.19 |
|---|---|
| 2019년 근로소득 세율표 갑근세 조견표 (0) | 2019.10.17 |
| 근로기준법 연차일수 계산 방법 - 소정근로일수 & 출근율 (0) | 2019.08.02 |
| 근로기준법 병가 규정 유급 무급 휴가? (0) | 2019.07.25 |
| 2019 군인 월급 특전사, 해군, 공군, 육군 부사관 하사,중사, 준위 장교 ,소위, 소령 2019년 직업 군인 월급 위험수당, 해외파병수당 더한 실수령액은? (0) | 2019.07.20 |
댓글