2022 공무원 봉급표, 공무원 월급, 실수령액을 알아보자
공무원 시험에 합격을 하고 난 후에 공무원 급여가 얼마나 되는지 궁금해하시는 분들이 많습니다.
그럼 2022 공무원 임금표 , 월급, 실수령액을 알아보겠습니다.
2022 공무원 봉급표입니다.
일반직과 일반직에 준하는 특정직 및 별정직 등의 수당과 보너스를 제외한 기본급 인상률은 1.4% 인상된 것입니다.
다른 직업에 비해서 안정성이 있으니 성실하게 근무를 해야 할 것입니다.
급여야 많이 줄수록 좋겠지만 공무원 임금은 국민이 부담하는 세금으로 주는 것이라 한계가 있죠.
각종 복지혜택과 수당을 합치면 공무원이 실제로 받는 월급은 이보다는 훨씬 많다고 볼 수 있습니다.
호봉에 따라서 공무원 월급이 인상되므로 오랜 기간 근무하면 임금 상승이 상상초월입니다.
2022 공무원 봉급표입니다.

. 연봉-공제액=실수령액(수당 보너스 제외)입니다.
. 공제액---기여금(연금) 120,000원 정도, 소급 기여금--120,000원 정도 됩니다.
. 건강보험, 장기요양보험--50,000원 정도, 소득세 약 12,000원 정도입니다.

총 월 30 정도 공제하고 나머지 실수령액과 보너스 수당 등을 지급받게 됩니다.
9급 1호봉의 경우 한 달에 190만 원 정도 된다고 합니다.
지금까지 2022년 공무원 임금표, 공무원 월급, 실수령액을 살펴보았습니다.

2022년 공안직 공무원 봉급표

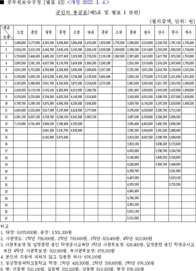
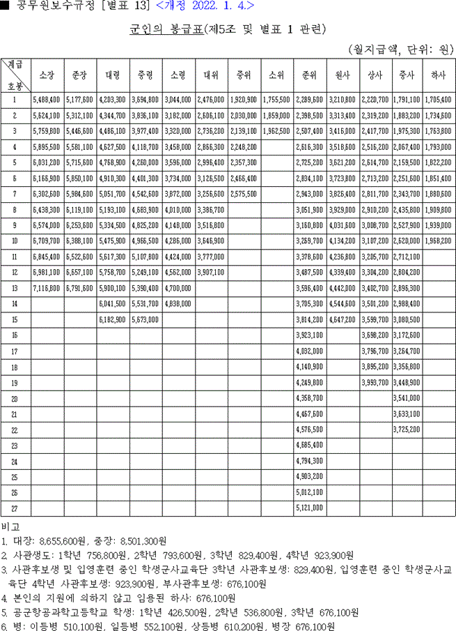
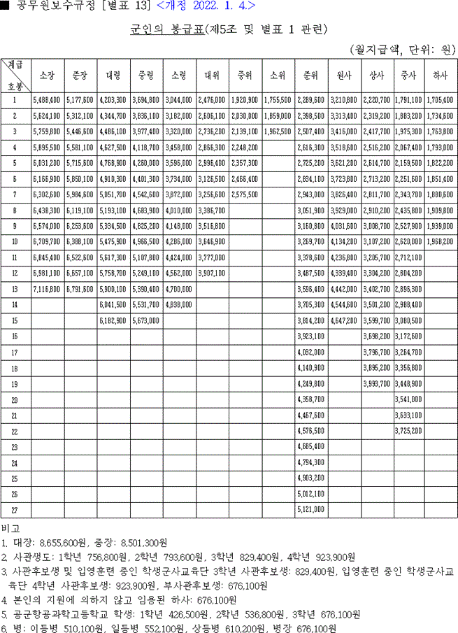
2022 군인 봉급표
2022년 공무원 직급보조비, 공무원 정액급식비.
대통령령인 공무원 보수에 관한 규정에는 다양한 수당에 대한 규정을 담고 있는데요.
2022년의 공무원 임금의 최대 화두는 역시 2022년 최저임금과 최하위직 공무원의 임금 수준일 것입니다.
이는 2022년 최저시급 9,160원 시대를 앞두고 최저임금에도 미치지 못할지 모르는 하위직 공무원의 사기진작 차원과 밀접한 연관이 있습니다.
2018년 처음으로 최저임금 대비 공무원 최하위직 임금 수준이 같아질 때도 문제는 지적됐습니다.
이에 대한 해결책이라고 나온 것이 공무원의 통상수당을 기본급에 통폐합시켜서 정신승리라도 거두 자라는 전략이었습니다.

대표적인 통폐합 대상 수당이 직급보조비입니다.
아직 통폐합되지는 않았지만, 또 이런 일이 발생한다면 최우선 통폐합 대상입니다.
대통령의 월 직급 보조비는 무려 320만 원이나 됩니다.
2019년에 공무원 직급보조비는 인상됐습니다.
2022 공무원 직급보조비는 변동이 없습니다.

위 표에서 파란색 부분이 기존과 달라진 부분입니다.
이 금액이 매년 바뀌는 건 아닙니다.
하위직 공무원인 9급 수준의 직급보조비는 2017년에 공무원 직급보조비 인상으로 105000원에서 125000원이 되었습니다.
다시 2019년에는 145000원이 됐습니다.
하사의 직급보조비 135000원과 정액급식비 13만 원과 주거보조비를 포함해서 간신히~간신히~ 최저월급 이상이 되게 끔 조정이 되었습니다.
2022년 공무원 직급보조비는 2019년에 인상된 금액으로 계속 지급되는 중입니다.
2022년 공무원 정액급식비는 13만 원으로 계속 동결 중입니다.
교사 군인 공무원 정근수당 지급기준
✔ 공무원 정근수당이란?
공무원 들은 매달 급여를 수령할 때 기본 월급 받는 것 외에도 여러 가지 수당들을 지급받고 있습니다.
이 수당과 기본급을 합쳐서 월급으로 받고 있죠.
호봉이 올라가면 월급의 총금액도 올라가고 추가 수당도 거의 같은 비율로 인상되어 가기 때문에 공무원이라는 직업은 매우 안정적인 직업입니다.
오늘은 그중에서도 정근수당이라는 수당에 대해 알아보겠습니다.
공무원 정근수당이란 공무원의 업무수행에 대한 보상과 근면의 권장을 위해 지급하는 수당입니다.
지급일은 매년 1월과 7월의 급여일을 통해 1년에 2번 지급합니다.

공무원 정근수당 지급기준
공무원 1월 정근수당의 지급기준은 전년도의 7월 1일부터 12월 31일 사이에 봉급이 지급된 공무원에게 지급합니다.
7월 정근수당 지급기준은 올해 1월 1일부터 6월 30일까지의 기간 동안 1개월분 이상의 봉급을 지급받은 공무원에게 지급합니다.

게다가 15일 이상 근무한 공무원은 한 달을 근무한 공무원으로 간주하므로 임용된 지 15일만 지나면 이 수당을 지급받을 수 있습니다.
단... 근속년수 1년 이상부터 5%씩 증가해서 지급되므로 갓 임용된 공무원은 1년 미만의 근속연수에서는 지급받을 수 없죠.
하지만 군필자는 근속년수 2년이 인정되므로 3년 미만으로 10%의 정근수당을 지급받을 수 있죠.
정리하자면... 여자는 안됐지만~ 해당사항 없고요. (군필 여자는 가능).
군필 남자는 전년도 12월 15일에 임용되었더라도 실제 근무 일수는 16일에 불과하지만, 1달치 급여를 수령했기 때문에 정근수당 지급 자격이 되고, 근속연수는 3년 미만에 해당되어 10%의 수당을 받게 됩니다.
단!
지급금액은 1항의 정근수당액에서 실제 근무한 기간을 6개월로 나눈 값을 곱하면 됩니다.
근무연수가 올라갈수록 정근수당도 같이 올라가는데요.
1년 미만일때는 미지급입니다.
2년 미만은 5% 3년 미만은 10%, 4년 미만 15% 이런 식으로 근속 1년당 5%씩 올라갑니다.
앞서 언급한데로 군필자인 경우에는 3년 미만으로 적용해서 월봉급액의 10%를 받습니다.
오랜 기간 근무한 10년 이상 근무자는 월 봉급액의 50%를 받습니다.
여기까지는 군인 정근수당 지급방법이나 교사 정근수당 지급방법이나 일반 공무원과 같습니다.
공무원 정근수당가산금

이 공무원 정근 가산금이라는 수당은 매월 지급됩니다.
군인을 제외한 전 공무원은 5년 이상부터 50,000원의 가산금이 지급됩니다.
20년은 월 100,000원이 지급됩니다.
군인 정근수당의 경우 근속연수가 안 되는 하사도 15,000원부터 지급됩니다.
'직업 공무원 경제 정보' 카테고리의 다른 글
| 2022년 군인 봉급표 2022 특전사 육군 부사관 하사,중사, 준위, 소령, 소위 대위 직업 군인 월급 해군 공군 위험수당, 해외파병수당 실수령액 (0) | 2022.02.21 |
|---|---|
| 북한 군사부장 서열 사랑의불시착 장남부 장준녕/북한미녀 안내원 양윤미 (0) | 2022.02.11 |
| 두바이 왕자와 공주들. (0) | 2021.12.21 |
| 국민연금, 건강보험 edi 보수총액신고 기간 (기한), 신고서 (0) | 2021.12.15 |
| 상호로 사업자등록 번호 조회 회사명으로 찾기 (0) | 2021.12.14 |
댓글