수수한 수요일입니다.라고 글을 쓰는 사이에 월요일이 됐네요.
요즘 제가 야근이 잦아서 평일 드라마를 챙겨보지 못해서 그런지... 요즘 어떤 드라마가 재밌는지 알 수가 없네요.
태양의 후예가 방영 중일 때는 일주일이 금방 가더니, (주말과, 수요일을 기다리느라...) 이제는 주말만 기다리니 일주일이 더디 가네요.
태양의 후예에는 대한민국 육군 특전사 알파팀 부대와 해외 파병 근무 군인들이 등장합니다.

덕분에 많은 분들이 직업군인 자체에 대해 관심들이 많아졌더군요.
그중에서도 2022 군인 월급에 관심이 많으실 텐데요.
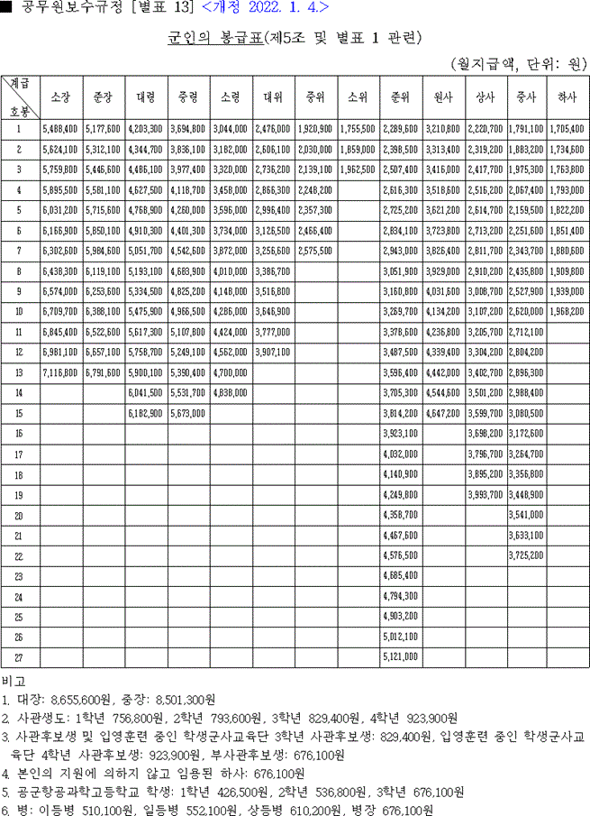
2022년 군인 봉급표

2022 군인 월급

2019년 1월 8일 발표  직업 군인 월급 자료.
해외파병 군인은 직업군인뿐 아니라 일반 병사도 지원해서 파병이 가능하지만, 특전사 요원들은 모두 직업군인입니다.
군대 다녀온 남자들은 직업군인 계급에 대해서 머릿속에 빠삭히 그려지지만, 여자분들은 군대 계급은 잘 모르시죠.
일단 직업군인은 사관, 준사관, 부사관으로 구성된 계급체계를 가지고 있어요.
흔히 장교라 하는 계급 부류가 사관에 해당하고요. 사관은 소위, 중위, 대위의 위관급 장교와, 소령, 중령, 대령의 영관급 장교, 그리고 준장, 소장, 중장, 대장의 장군 순으로 계급이 높아집니다.

그리고 준사관은 부사관들 중에서 시험을 쳐서 승진하게 되는 전문적인 업무를 맡은 준 장교인 준위가 있습니다.
그리고 서대영 상사와 유시진 대위의 아버지 계급인 원사가 속해 있는 부사관이 있는데요.

부사관은 하사, 중사, 상사, 원사로 구성됩니다.
하사로 시작하면 최종 끝판왕은 원사가 됩니다.
계급의 체계는 장교> 준사관> 부사관이지만, 실제 현실에서는 소위의 계급이 원사나 준위보다 높다고 해서 함부로 반말하고 얼차려 주고 할 수는 없습니다.
준위는 젊은 경우가 많지만 원사는 적지 않게 소위의 아버지뻘 나이인 분들이 많기 때문이죠. (심지어 장군님들도 존대를 하기도 합니다.)
이런 직업군인 계급 별 관계를 고려해서 2018 직업군인 월급을 보면 왜 직업 군인 계급별 월급이 늘었다가 소위에서는 다시 팍 줄고 늘어나는지 이해하실 수 있을 거예요.
그리고 기본적으로 장교 월급과 부사관 월급은 계급 때문에도 차이가 납니다.
하지만 일반 부사관은 대체로 하사로 임관해도 1호봉부터 시작하지만, 사관학교 출신의 장교들은 3호봉부터 시작하게 됩니다.
봉급표가 1호봉부터 시작되어도 실제 시작은 3호봉부터가 됩니다.
물론 모든 장교가 사관학교 출신인 것이 아니기 때문에, ROTC나 학사장교는 1호봉부터 시작합니다.
부사관 쪽에서는 공군의 공군항공과학고등학교 출신 하사는 임관 시 2.5호봉을 인정받게 됩니다.
예전에 금오공고 출신 부사관도 호봉 인정이 되었던 것 같은데 폐지되었다는 얘기를 들어서 금오공고는 부정확합니다.
지금까지 2022 군인 봉급표에 대해 살펴보았는데요.
그렇다면! 헬기에서 뛰어내리기도 하고 레펠도 하며 해외로 파병까지 나간 유시진 대위와 서대영 상사 같은 특전 장교나 특전사 부사관 월급은 공군, 해군, 육군 장교 또는 부사관 월급에 비해서 어떨까요?
기본적으로 기본급은 육군 부사관이나 공군 부사관이나 해군 장교나 공군 장교나 계급과 호봉이 같으면 같습니다.
해군 중위 월급이나 공군 중위 월급이나 호봉이 같으면 기본급이 같다는 뜻이죠.
다만 달라지는 것은 각종 수당이 조금씩 차이가 날 뿐이죠.
예컨대, 헬기를 항상 타고 다녀야 하는 특기의 육군 항공대 준위나, 장교 혹은 부사관들이 땅에서 편하게 행정을 보는 부사관 하고 같은 월급을 받는다면 뭔가 억울하겠죠?
유시진과 서대영처럼 고공낙하를 밥먹듯이 하는 특전사 간부 특전사 장교 혹은 특전 부사관들이 보병 특기와 같은 급여를 받는다면 형평성의 문제가 생기겠죠.
그래서 기대만큼 크지는 않지만 분명하게 위험수당이 지급됩니다.



정말 군인 위험수당은 민간에게 수요를 뺏길까 봐 걱정되는 전투기 조종사 같은 파일럿들에게는 적지 않은 금액을 항공수당이라는 명목으로 지급합니다.(사실 그 정도 받더라도 민간 항공사 조종사로 전업하는 게 돈은 훨씬 많이 받긴 하지만요... 월 60여만 원 + 월 100만 원)
그리고 태백 부대처럼 해외 파병을 나가게 되면, 해외파병 월급을 지급받게 되는데요.
이 파병수당은 달러로 지급되고, 파병 지역의 위험도와 업무 종류 및 난이도에 따라 차등적으로 지급됩니다.

항간에 간혹, 일반 병사들이 해외 파병 나가도 월 200만 원은 거뜬히 받는다는 얘기가 있던데요.
위의 표를 보시면 얼핏 그럴 수도 있겠다 싶긴 하네요.
위의 표는 파병수당 지급기준인데요.
일반 사병의 경우 월 1474달러를 받게 됩니다.
환율에 따라 계산이 달라질 수 있겠지만, 한창 환율이 높았던 시기라면 기준금액만으로도 250만 원이던 시절이 있긴 있었을 테니까요.
지금 환율로도 대략 170만 원 선이지만, 아래와 같이 지역 등급에 따라 지급비율 가중치가 달라지기 때문에, 10등급 지역이라면 165%를 지급받게 됩니다.
그러면 역시 일반 사병 파병수당도 280만 원이 가뿐하게 넘어버리게 되죠.

거기에 더해서 전투 지대인지 아닌지에 따라 다시 가중치가 더해지면, 일반 사병의 파병수당만으로도 상당한 금액이 되게 됩니다.
이를 바탕으로 생각해보면 육군 특전사 대위 월급을 받았을 유시진 대위와 서대영 상사는 못해도 월 350만 원 이상의 파병수당을 받지 않았을까 싶네요.(방영 당시 기준)
2022년 기준으로 육군 대위 월급은 4호봉 기준 270만 원이 기본급이지만, 위험수당 파병수당이 더해진 다면 꽤 짭짤하겠죠?
거기에 추가로 월 30여만 원의 위험근무수당 등이 더해진다면, 드라마 속 인물인 유시진 대위의 한 달 월급(우르크 파병 당시)은...
대위 6호봉으로 가정하고 (진급심사 전이었으니 대략) 기본급 226만 원(2022년 월급은 290만 원선) + 정액급식비 13만 원 + 직급보조비 (대위 월 25만 원) + 정근 가산금 (월 5만 원) + 가족수당 (아버지:2만 원) + 위험수당 (32만 원/월) + 파병수당 ( 10등급, 평화유지 활동 4등급, 위험지역(지진) 4등급 대략 400만 원)...
유시진 대위의 파병 중 월 급여 실수령액은 대략 700만 원 선. lol;
참 그러고 보니 3월은 군인 성과상여금 지급되는 달이죠.
3월 수당 지급 시 군인 성과상여금이 지급시기인데요.
이 기준 호봉에 성과평가 등급에 따라서 S등급(상위 20%)은 172.5%, A등급(상위 20~60%)은 125%, B등급(상위 60~90%)은 85%의 금액을 성과급으로 지급받습니다.
전체 인원의 10%에 속하는 C등급은 수당을 받지 못하게 되죠.
유 대위는 당연히 S등급에 해당할 테니, 3월에 추가로 358만 원의 성과급을 받으면 유 대위의 3월 급여는 무려 1천만 원이나 되는군요.
하지만... 유 대위는 감봉 3개월을 받았기 때문에, 아마 성과급 지급대상에서도 제외되고, 급여도 감봉 처리되어서 그렇게 많이 받지 못했을 것 같군요. ㅋㅋㅋ
다른 공무원 조직은 공무원 성과상여금을 조직에 따라서 몇 달에 걸쳐 분할 지급하기도 하지만, 군인은 대체로 3월 말에 몰빵 해서 주나 봅니다.
진해 직업군인 부인들의 모임 카페에서는 남편들의 성과상여금 꼬불치는 문제로 성토 중이더군요.
사실 공무원 관련 글 올리면서 깨달은 것인데 말이죠.
블로그로 유입되는 링크들을 타고 들어가다 보면, 대체로 공무원 자신이나, 군인 그 자신보다는 부인들의 검색이 더 많더군요.
"이 인간 나 몰래 더 받는 돈 있는 거 아냐?"
이런 검색이랄까요? ㅋㅋㅋ
남편분들 투명해지세요~~
집에서도 투명하지 못한 공무원, 나랏일이라고 투명할까 싶네요~
2018 부사관 월급. 해군, 공군, 육군 하사, 중사, 상사, 원사 직업군인 봉급표
2017년에 직업군인 월급은 3.5% 인상되었지만, 군대 월급 즉 병사 월급은 9.6% 인상되었다.
2018년 군인 봉급표에서 직업군인은 2.9% 인상되었으며, 병사 월급은 올해보다 소폭 줄어든 88% 인상되었다.
매년 가을에는 장군 인사가 있다.

언론에서 '별만 달면 억대 연봉이다. 어떻다.',
'대우가 어떻게 달라지나?'
이런 것들을 주로 다루었다.
과연 정말로 군인 월급은 얼마나 받을까?
요즘처럼 3포 세대가 만연한 시대에 직업군인으로 일하는 것도 나쁘지 않을 텐데.
여군도 점점 지원자가 많아지고 있다.
군인 계급별로 월급을 얼마나 받는지 알아보도록 한다.
군대의 월급은 계급별로 다르며, 또 호봉별로도 다르다.
2018년 직원 군인 월급

해군 중사 월급이나 특전사 중사 월급이나 기본급은 동일하다.
마찬가지로 공군 상사 월급이나 육군 상사 월급이나 동일하다.
다만 근무 환경에 따라 위험수당, 강하 수당, 기술수당 등이 붙으면 실수령액은 달라진다.

17년 군인 월급 표

16년 군대 월급
이병부터 병장 월급은 의무복무라 테이블 하단에 별도로 기입되어 있다
사병들의 월급은 굉장히 적다.
직업군인에 비해 최하 5배 차이가 났었지만 2018년에는 4.5배 정도로 줄었다.
2017년에는 병장 월급이 20만 원에 육박하는데, 하사 월급은 100만 원을 간신히 넘겼으나,
2018년에는 40만 원을 넘겼고, 하사 월급은 145만 원이 되었다.
하지만 2017년의 기준으로 치면 3배 정도다.
2017년까지의 직업군인 봉급표는 순수 기본급만 나타낸 것일 뿐이었다.
정근수당, 정액급식비, 직급보조비, 시간 외 수당, 명절휴가비, 성과상여금 등이 별도로 잡혔다.
2018년에는 최저임금에 맞추기 위해서 일부 통상 수당이 기본급에 산입 되었기 때문에 착시를 일으킨다.
그래 봤자 민간 대비 85% 미만의 수준이다. 2천 년대 초 95%까지 근접했던 것에 비해 오히려 처우가 나빠졌다.
2018 부사관 월급
이런 문제로 인해서 하사 월급에 통상 수당이 포함되어 기본급이 2017년에 비해 급격히 인상된 것처럼 보인다.
하사 월급이 증가되었으니 직업군인 월급 전체가 조정되었다.
중사 월급이 하사 월급보다 적어 보일 수는 없고, 상사 월급 역시 중사 월급보다 적어 보여서는 안 되니... 원사, 준위, 소위... 줄줄이 통상수당이 포함된 것이다.
'직업 공무원 경제 정보' 카테고리의 다른 글
| `5월1일 근로자의날 학교 쉬나요? 공무원 휴무? 우체국 택배 은행 병원 쉬나요? (0) | 2022.03.22 |
|---|---|
| `2022년 공무원 초과근무수당 단가표 계산, 군인, 교사 시간외수당 2022 교육공무원 봉급표 - 교사 월급 근속가봉 근가 호봉표 (0) | 2022.03.10 |
| 북한 군사부장 서열 사랑의불시착 장남부 장준녕/북한미녀 안내원 양윤미 (0) | 2022.02.11 |
| 2022 공무원봉급표 임금표 직급보조비, 정액급식비, 교사 군인 공무원 정근수당 지급기준 (0) | 2022.01.06 |
| 두바이 왕자와 공주들. (0) | 2021.12.21 |