2023년 공무원 봉급 인상률 및 혜택
안녕하세요, 여러분! 오늘은 2023년 공무원 봉급표에 대해서 살펴보겠습니다. 2023년 공무원 봉급 인상률은 1.7%입니다. 그리고 8급과 9급 공무원의 월급은 차등 인상되었습니다. 실질적으로 5.1%의 인상을 받으셨으며, 이는 확실히 힘을 내고 열심히 일하시는 분들에게 큰 동기부여가 될 것입니다.
2022년에는 9급 공무원 1호봉의 급여가 약 168만 원 정도였습니다. 공무원 봉급표는 국가법령정보센토 공무원 보수규정이나 인사혁신처에 공개된 공무원 봉급표에서 확인할 수 있습니다. 보통 처음 공무원을 알아보는 분들은 다른 분야에 비해 공무원의 기본급이 상대적으로 적다고 생각할 수 있습니다. 그러나 공무원의 급여는 기본급만으로 판단할 수 없습니다. 기본급 이외에도 다양한 복지 혜택과 수당이 제공되기 때문에 실질적인 수입은 더 높아질 수 있습니다.
과거에는 공무원의 급여가 극히 낮았던 시기가 있었고, 그 금액으로는 한 달 생활을 유지하기 어려울 정도였던 시기도 있었습니다.
2023년 공무원 봉급표를 살펴보면, 기본급뿐만 아니라 다양한 복지 및 수당 혜택이 많이 제공되고 있습니다.

이러한 혜택들로 많은 분들이 공무원을 희망하고 있습니다. 공무원 시험은 경쟁률이 상당히 높아서 어렵다는 말도 종종 듣습니다. 예전에는 사법고시보다도 더 어려운 시험이라는 소문도 있었지요.(엄살은...ㅎ) 현재도 여전히 그럴 것으로 예상됩니다.
이번에 인사혁신처에서 공개한 2023년 공무원 호봉표는 공무원 시험 준비 중인 분들에게 흥미로울 것입니다. 아래의 표를 살펴보세요.

일반 공무원 봉급표 2023
위의 표를 보면 공무원의 기본급뿐만 아니라 다양한 복지 및 수당이 포함되어 있음을 알 수 있습니다.

2021년 공무원 정액급식비가 13만원에서 14만원으로 인상됐습니다. .

2023년 공무원 직급보조비는 6급이하 공무원의 경우 인상됐습니다
이는 공무원으로 일하는 동안 안정된 경제적인 생활을 할 수 있도록 도와주는 중요한 요소 중 하나입니다.

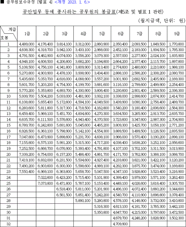
2023 공안직 공무원 임금표

2023년 경찰공무원 봉급표 2023 소방공무원 급여표
교육공무원은 교사 뿐만 아니라 장학사, 교육행정직원들도 포함하는 개념입니다. 교사는 정교사 2급 자격증을 취득하면 8호봉부터 호봉이 시작됩니다. 그래서 아래의 교원 호봉표를 보면 1호봉부터 시작하고 있지만, 교사 호봉은 8~9호봉 부터 시작하는데, 교사 정년이 62세다보니, 40호봉 이상의 호봉이 필요합니다.
그래서 도입되는 개념이 근가 호봉표입니다.
2023년 교사 근가 봉급표는 1호봉에 7만4천 1백원입니다.

2023년 교사 호봉표 2023 교원 임금표
공무원으로 일하시는 지인의 이야기를 들어보면, 그들은 현재의 상황에 아주 만족하고 있습니다. 왜 공무원이 그렇게 만족스러운지에 대해서는 다음 글에서 계속 이어서 이야기해 보도록 하겠습니다.
'직업 공무원 경제 정보' 카테고리의 다른 글
| 공무원 출장비 논란 옆 건물도 출장여비 지급 규정? (0) | 2023.07.13 |
|---|---|
| 2023년 군대 봉급표와 2023 군인 월급 (0) | 2023.07.04 |
| 2023 공무원 정근수당 지급기준 (0) | 2023.07.02 |
| 근로기준법 여름휴가 연차포함? (0) | 2023.06.11 |
| 교정직 급여 2023년 공안직 공무원 봉급표 교도관 계급 슬빵 과장 부장 계장 직급 (0) | 2023.06.06 |