2023년 군대 봉급표와 병사 월급 인상
2023 군인 월급 인상에 대한 이슈가 2023년에 들어와 많이 논의되고 있습니다.
병사를 포함한 군인 월급 차이가 줄어들어서 병장과 초급 간부들의 월급 차이가 거의 없어지는 상황이 오고 있습니다.
이러한 상황에서는 2023년 군인 월급이 어느 수준까지 인상됐는지 알아 보겠습니다.
현재 2023년 군인 월급은 다음과 같습니다:
- 병장: 100만 원
- 상병: 80만 원
- 일병: 68만 원
- 이병: 60만 원
과거에는 병장 월급이 100만 원을 넘을 수 있을까라는 이야기를 우스갯소리로 했던 적이 있었지만, 이제는 그 현실이 되어 버렸다는 사실이 충격적입니다.
국방부는 2025년까지 병장 기준 병 봉급을 150만 원까지 인상할 예정입니다.
아래 그래프를 통해 최근 5년 동안 군인 월급이 크게 증가한 것을 확인할 수 있습니다. 특히 최저임금의 인상 수준과 비슷한 수준으로 군인 월급이 인상되어 왔습니다. 그러나 최저임금과 비교하면 아직 군인 월급은 미미한 수준입니다.

또한, 군인들의 월급 인상만으로는 부족하므로, 간부와 병사의 급여차이가 줄어들고 전체적인 재정 부담이 커진다는 의견도 있습니다. 예를 들어, 한 하사의 지난해 12월 급여는 세전 186만 5400원에 실수령액 161만 3020원이었습니다.
군인도 직업이므로, 간부들의 근로 의욕과 사기가 저하되는 것도 고려해야 하는 사항입니다. 이러한 문제는 뉴스나 기사에서도 계속해서 언급되고 있습니다. 군인 월급 인상은 기업에서 초봉을 함부로 올릴 수 없는 것과도 관련이 있다고 생각됩니다. 그러나 아직까지도 군인 월급은 다른 직업에 비해 낮은 편에 속합니다. 국방부의 노력에 따라 2025년까지 군인 월급이 더 상승할 예정이지만, 간부와 병사의 월급 차이 감소와 재정 부담 등 여러 가지 요인을 고려해야 할 것입니다.
2022년 공무원 봉급표 인상 및 인상률
2022년 공무원 봉급 및 퇴직 연금 인상률 예상
안녕하세요, 여러분. 오늘은 공무원 봉급 및 퇴직 연금 인상률에 대해 이야기해보려고 합니다. 지난해에 비해 약간 상승했지만, 2022년 공무원 봉급 인상률은 1.4%입니다. 이는 아직 공식적으로 발표되지 않았지만 예상되는 수치입니다.
지난해, 2021년에는 사학연금, 군인연금, 국민연금의 인상률이 0.5%로 결정되었습니다. 그리고 2021년 공무원 봉급 인상률은 0.9%로 나타났습니다. 이러한 수치들을 고려할 때, 2022년 퇴직 공무원 연금 인상률도 현직 공무원 봉급 인상률의 절반을 조금 상회할 것으로 예상됩니다. 약 0.8%에서 0.9% 정도의 인상률을 예상해 볼 수 있습니다.
이제 과거 5년간의 공무원 봉급 인상률을 살펴보겠습니다. 2017년에는 3.5%로 시작하여 2018년에는 2.6%, 2019년에는 1.8%로 감소했습니다. 그러나 2020년에는 2.8%로 다시 상승한 뒤, 2021년에는 0.9%로 큰 폭으로 하락하였습니다. 그리고 2022년에는 1.4%로 상승하는 것으로 예상됩니다.
아래 표는 최근 5년간의 공무원 봉급 인상률을 정리한 것입니다.
| 연도 | 공무원 봉급 인상률 |
| 2017년 | 3.5% |
| 2018년 | 2.6% |
| 2019년 | 1.8% |
| 2020년 | 2.8% |
| 2021년 | 0.9% |
| 2022년 | 1.4% |
| 2023년 | 1.7% |
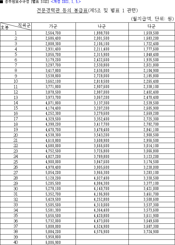
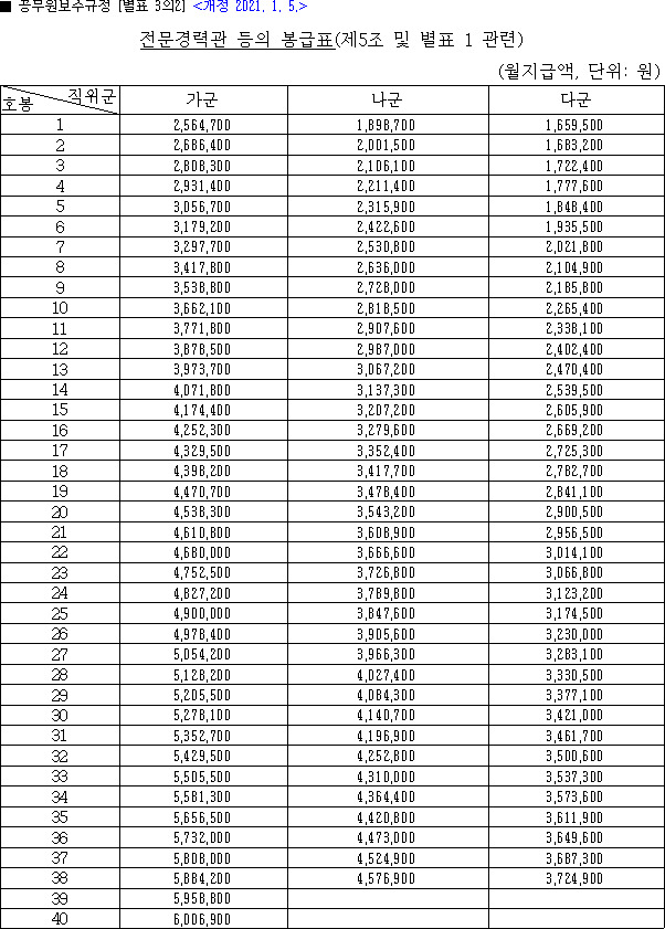
2022년 공무원 봉급표에 따르면, 9급 1호봉의 경우 1,659,500원으로 상승하였습니다.
이는 2021년에 비해 약 16,700원 정도의 인상입니다.
요약하자면, 2022년 공무원 봉급 및 퇴직 연금 인상률은 아직 공식적으로 발표되지 않았지만, 현직 공무원 봉급 인상률의 절반 정도로 예상됩니다. 약 0.8%에서 0.9% 정도로 예상되며, 최근 5년간의 공무원 봉급 인상률 추이를 고려할 때 상승하는 경향을 보입니다. 9급 1호봉의 경우 2021년에 비해 약 16,700원 정도 상승하였습니다.
이상으로 2022년 공무원 봉급 및 퇴직 연금 인상률에 대해 알아보았습니다. 향후 공식 발표를 기다려봐야 하지만, 위의 예상을 참고하여 대비하는 것이 좋을 것입니다. 감사합니다.
작년보다는 인상률이 높아지긴 했지만 올해 2022년 공무원 봉급 인상률은 1.4%에 입니다.
아직 발표되진 않았지만 내년도 공무원 연금 인상률에 대한 궁금증도 증폭되는 것은 사실이다.
정부가 공식적인 발표는 하지 않고 있지만 2021년 사학연금, 군인연금, 국민연금 인상률은 0.5%에 그쳤다.
2021년 공무원 봉급 인상률이 0.9%였던 것을 감안하면 2022년 퇴직 공무원 연금 인상률도 현직 공무원 봉급 인상률의 절반을 조금 상회하는 수준이 될 가능성이 높다.
0.8%~0.9% 정도 예상해 본다.
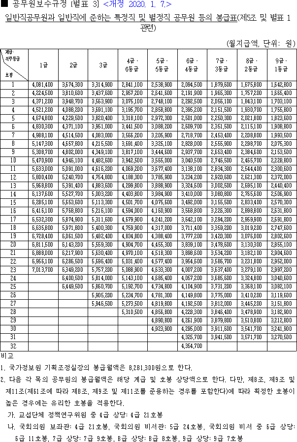
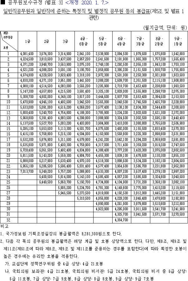
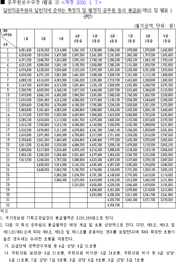
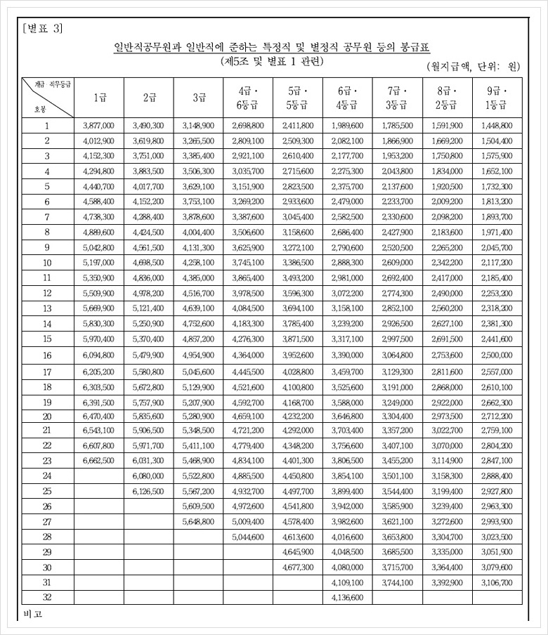
2022년 공무원 봉급표










PS: 9.1 추가 내용. 0.9% 인상으로 결정됐습니다. 뭘 상상하든 그 이하군요.
2020년 공무원 보수 인상률 2.8%로 최근 3년 내 가장 높은 인상률을 기록하였습니다. 이는 공무원들에게 큰 도약을 의미하는데요, 공무원의 보수는 대기업에 비해 현저히 낮은 편이지만, 퇴직 후의 연금제도 및 복리후생, 그리고 60세 이상까지 근무할 수 있는 여건을 제공하기 때문에 여전히 인기 있는 직업군입니다.
공무원의 보수는 계급이나 직무 등급에 따라 1급에서 9급으로 나뉘며, 각 등급마다 32개의 호봉이 있습니다. 작은 숫자일수록 이제 막 시작하는 직급을 의미합니다.
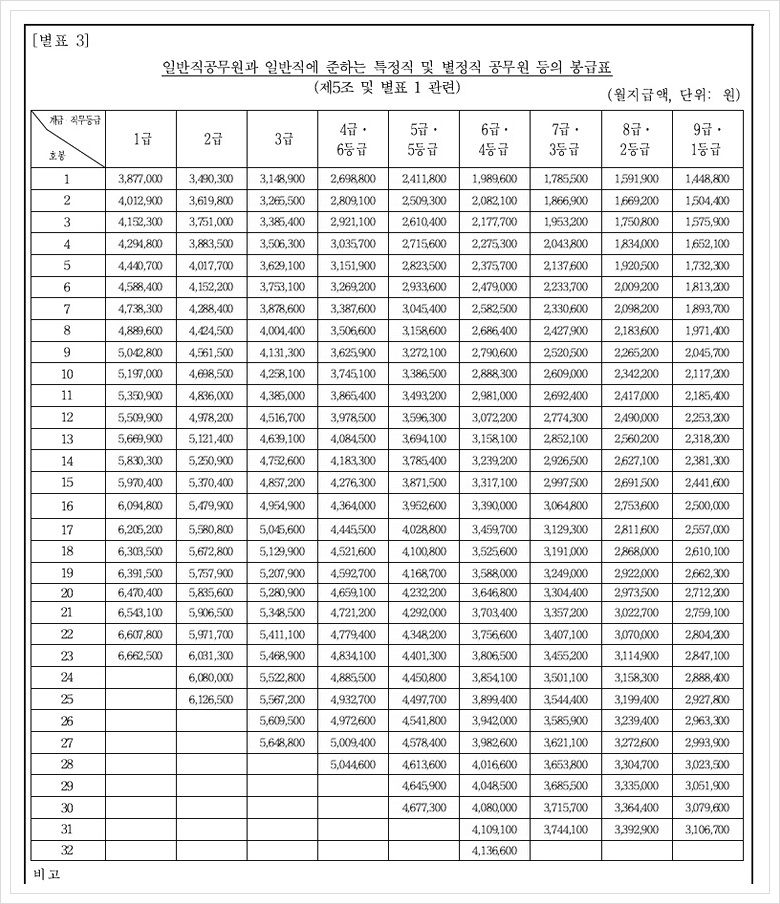
아래는 2020년과 2021년의 공무원 봉급표입니다.
2020년 공무원 봉급표 (2020년 1월 6일 시행)

2020년 공무원 봉급표 (2020 1.6일 시행 )
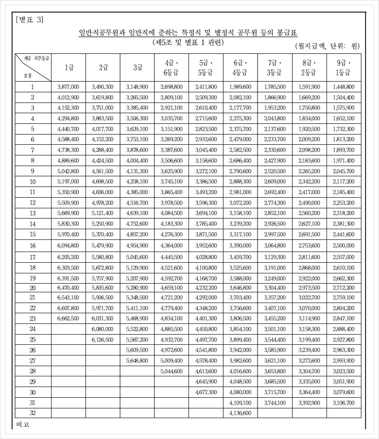
2021년 공무원 봉급표 (2020년 1월 6일 시행 예정)

2021년 공무원 봉급표 (2020 1.6일 시행 예정) 2021년 일반직 공무원 봉급표
위의 표에서 볼 수 있듯이, 2021년 일반직 공무원의 봉급은 2020년 대비 상승하였습니다. 이러한 인상은 공무원들에게 희망을 안겨주는 결과로 이어집니다. 공무원 월급이 오르면 일반적으로 다시 내려가는 경우는 드물기 때문에, 이번 인상은 공무원들에게 큰 도움이 될 것으로 기대됩니다.
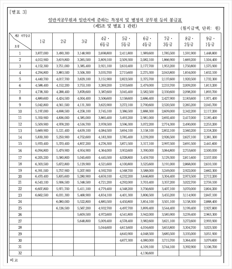
이와 함께, 2019년의 공무원 봉급표도 함께 첨부해 드리겠습니다. 이를 통해 인상된 월급을 비교해 볼 수 있습니다.

이번 인상된 월급을 확인해 보니, 지난 기간 동안 준비하고 계신 분들에게 약간의 희망을 안겨주는 결과가 되었습니다. 공무원은 여전히 안정적이고 인기 있는 직업군 중 하나로 남아 있습니다. 현재의 인상률은 이전보다 더욱 크기 때문에, 이는 공무원으로서의 경력을 시작하거나 계속해서 성장하고자 하는 사람들에게 좋은 기회를 제공합니다.
공무원은 안정적인 보수와 퇴직 후의 혜택 등을 통해 많은 사람들의 관심을 받고 있습니다. 이는 공무원으로서의 경력이 오랜 기간 동안 안정적이고 풍요로운 삶을 제공한다는 것을 의미합니다. 따라서, 공무원은 여전히 많은 이들에게 인기 있는 직업으로 손꼽히고 있습니다.
올해 2020 공무원 봉급표 공무원 보수 인상률 2.8%로 최근 3년 내 가장 최고의 수준의 인상률을 보이고 있습니다.
공무원 보수는 대기업에 비해서는 현저하게 낮은 편이지만, 퇴직 후 연금제도, 및 복리후생 60세 이상까지 근무할 수 있는 여건을 갖추고 있기 때문에 여전히 인기 직업군입니다.
오늘은 수고가 많은 2021년 경찰공무원 봉급표에 대해 알려드립니다
최근에 인기를 끌었던 드라마 '시골 경찰'을 보신 적 있으신가요? 저 역시도 그 드라마를 통해 경찰의 일상과 역할에 대해 새롭게 알게 되었습니다. 그럼 함께 드라마에서 보여준 경찰의 모습과 실제 경찰들의 일상을 살펴보도록 하겠습니다.
드라마 '시골 경찰'은 시골 마을에서 일어나는 사건을 다루면서 현실적이고 따뜻한 이야기를 전달하며 시청자들에게 큰 인기를 얻었습니다. 첫 시즌에서는 최민용 씨의 연기로 많은 이들에게 즐거움을 주었고, 두 번째 시즌에서는 이정진 씨가 이야기에 더욱 밝은 분위기를 더했습니다. 두 시즌 모두에서 신현준과 오대환의 케미는 웃음을 선사하며 시골 경찰들의 끈끈한 동료애를 보여주었습니다.

시골 경찰을 관찰하면서 현실 세계에서도 경찰의 역할과 힘들음을 조금이나마 이해할 수 있는 시간이었습니다. 추운 날씨에도 힘들게 일하는 경찰들의 모습은 저에게 많은 감명을 주었습니다. 이런 경험을 통해 경찰은 우리의 안전과 평화로운 일상을 위해 수고하는 사람들이라는 인식을 갖게 되었습니다.
하지만 현실에서 경찰에 대한 이미지는 어떨까요? 음주 측정이나 과태료 부과, 비리 경찰 등 부정적인 이미지가 존재한다는 사실은 부인할 수 없습니다. 이러한 이미지 때문에 경찰에 대한 긍정적인 인식보다는 부정적인 시선이 많을 수 있습니다.

그러나 우리가 안심하고 편안한 생활을 즐길 수 있는 배경에는 든든한 경찰의 존재가 필수적입니다. 제 개인적인 경험으로 말씀드리자면, 세 해 전에 저는 길을 걷다가 차에 치인 사고를 당했습니다. 이 사고로 인해 경찰의 조사에 따른 노력으로 가해자의 불법 행위가 밝혀지고 제 대한 정당한 보호가 이루어졌습니다. 이런 경험을 통해 경찰은 일반인과 마찬가지로 여러 어려움과 고충을 겪는 사람들이라는 것을 깨달았습니다.
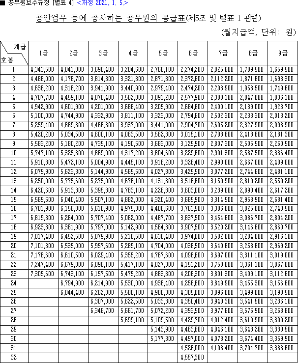
따라서 우리 사회에 꼭 필요한 존재인 경찰 공무원들의 처우와 봉급은 중요한 문제입니다. 경찰은 범죄 예방과 사회 안전을 위해 노력하는 직업입니다. 경찰공무원이 되기 위해 열심히 공부하고 훈련하는 분들도 많을 것입니다. 따라서 2021년 예산안에 발표된 0.9%의 공무원 임금 인상률에 대해 경찰의 월급을 알아보는 것은 의미가 있을 것입니다.
한국 경찰의 월급은 경찰의 계급, 경력, 근무지 등에 따라 달라집니다. 따라서 정확한 숫자를 제시하기는 어렵지만, 경찰의 월급 범위를 살펴보면 대략적인 정보를 얻을 수 있습니다. 아래의 표는 한국 경찰의 예상 월급 범위를 보여줍니다.

2021 경찰공무원 봉급표 예상

실제 발표된 2021 경찰 소방공무원 호봉표
다만, 이는 예상치일 뿐이며, 정확한 월급은 개인의 상황에 따라 달라질 수 있습니다. 경찰들은 특수 수당, 근무시간 외 수당 등을 받기도 하며, 경력과 스킬에 따라 추가적인 보상을 받을 수도 있습니다.
한 가지 기억해야 할 점은 경찰의 월급은 단순히 금전적인 측면만으로 판단해서는 안된다는 것입니다. 경찰은 범죄 예방과 조사를 통해 우리 사회를 안전하게 지키기 위해 헌신하는 직업입니다. 그들의 힘든 일상과 애로사항을 고려하여 적절한 보상과 지원체계를 마련하는 것이 필요합니다.

2020년 경찰공무원 봉급 인상은 2019년에 비해 2.8% 인상되었습니다. 2020 경찰공무원 봉급표
결론적으로, '시골 경찰' 드라마를 통해 경찰의 일상과 역할에 대해 새로운 인식을 가지게 되었습니다. 경찰은 우리의 안전과 평화로운 일상을 위해 힘들게 노력하는 사람들입니다. 따라서 우리는 경찰의 역할과 그들이 겪는 어려움을 이해하고, 그들에게 적절한 보상과 지원을 제공하는 것이 필요합니다. 앞으로도 우리 사회가 더욱 안전하고 평화로운 곳이 되기 위해 경찰들과 함께 노력해야 합니다.
2018년 공무원 봉급표 얼마일까?
2018년 공무원 봉급표와 관련된 정보에 대해 알아보겠습니다. 공무원의 봉급은 항상 사회적으로 큰 관심을 받는 주제 중 하나입니다. 특히 최저임금 결정 시기에는 모든 노동자들이 임금 문제에 대해 많은 관심을 갖게 됩니다. 이에 따라 공무원의 연봉에도 자연스럽게 많은 관심이 집중됩니다.
2018년도에도 8월 말에 정부가 국무회의를 통해 다음 해인 2019년도 공무원 임금 인상안과 공무원 증원 계획이 주 내용인 2018년 예산안을 의결한 적이 있었습니다. 그러나 2019년 예산은 8월 말 이후에 기획 및 편성 발표되기 때문에 그전까지는 아직 예산에 대한 정보가 없는 상황입니다.

지난해인 2017년에는 공무원 월급 인상률이 3.5%였던 반면, 2018년에는 정부가 제출한 본 예산 안에 따르면 국장급 이상은 2%, 국장급 이하는 2.6%로 인상되었습니다. 그러나 실제로는 모든 공무원 직급에 관계없이 약 2.7% 정도로 인상되었습니다. 이는 2017년의 인상률인 3.5%보다 크게 하락한 수치입니다.
실제 인상률이 0.8% 하락한 것처럼 보일 수 있습니다. 그러나 3.5%와 2.7%의 차이는 0.8%로 보이지만, 이는 실제로는 22% 포인트 차이에 해당합니다.

2018년 공무원 봉급표: 공무원 시험을 준비하는 분들께 도움이 되길 바라며
안녕하세요! 이번에는 2018년 공무원 봉급표에 대해 알아보려고 합니다. 공무원 시험을 준비하는 분들께 도움이 될 수 있을 것입니다. 사실, 최근 최저임금 상승률이 높아지면서 공무원 봉급도 상승하는 경향을 보이고 있습니다. 그러나 봉급에는 여러 요소들이 반영되기 때문에 단순히 최저임금과의 비교만으로는 정확한 판단이 어렵습니다. 따라서 이 글에서는 주 40시간 근무와 주휴수당을 고려하여 2017년의 월 최저급여와 비교해 보도록 하겠습니다.
2018년의 최저임금은 7530원으로 전년 대비 16.4% 상승했으며, 2019년에는 10.9% 인상될 예정입니다. 이를 바탕으로 주 40시간 근무와 주휴수당을 고려할 경우, 2017년 월 최저급여는 157만 3770원이었습니다. 반면, 봉급표 상의 9급 1호봉의 급여는 148만 원대였습니다. 최저임금보다는 낮지만, 공무원의 경우 누구나 받게 되는 수당인 직급보조비가 더해지면 최저임금을 넘어설 수 있습니다.
그러나 다음 해인 2019년에는 이 부분이 더욱 고민거리가 될 것으로 보입니다. 정부가 국회에 제출한 2018년 예산안에 따르면, 통일부 9급 공무원의 평균 봉급은 255만 1000원으로 가장 높았습니다. 국토교통부는 244만 원, 국방부는 235만 8000원, 행정안전부는 233만 8000원 등 순으로 나타났습니다. 반면, 해양수산부는 182만 6000원으로 가장 낮았습니다.
이러한 급여는 개개인의 수당을 평균한 것이기 때문에 부처별로 차이가 발생할 수 있습니다. 또한, 같은 9급 공무원이라도 호봉에 따라 급여가 다르기 때문에, 9급으로 통일해서 평균을 내면 높은 호봉자가 많을수록 평균 급여가 더 높아 보일 수 있습니다.
5급 사무관의 경우, 행정고시 출신 기준으로 평균 봉급은 통일부가 592만 5000원으로 가장 많았으며, 체육관광부와 고용노동부는 각각 585만 2000원과 588만 3000원으로 그 뒤를 이었습니다.
한편, 공무원의 봉급 인상폭은 직급이 높을수록 금액 비중이 크게 증가한다는 점도 알아두시면 좋습니다. 이는 당연한 결과이기도 합니다. 정률 인상일 경우, 원래 급여가 크면 절대 금액도 커지기 때문입니다. 예를 들어, 1급 23호봉의 경우 전년 대비 17만 8851원의 월급 인상폭을 보였습니다.
최근 공무원은 안정적인 직종으로 인식되고 있습니다. 이러한 안정성을 바탕으로 2018년 공무원 봉급표를 참고하시면서 공무원 시험에 대한 동기를 부여받으실 수 있기를 바랍니다.
이상으로 2018년 공무원 봉급표에 대해 알아보았습니다. 공무원 시험을 준비하시는 분들께 도움이 되었기를 바랍니다. 감사합니다!

검사 월급 / 검찰 월급표

경찰 월급 표 소방관 월급

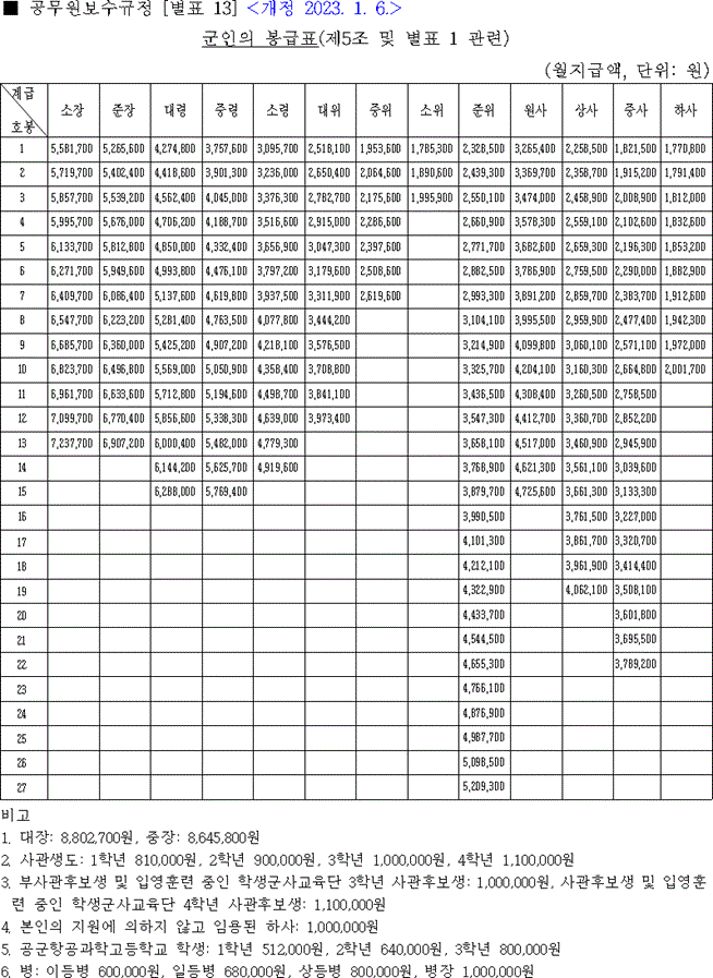
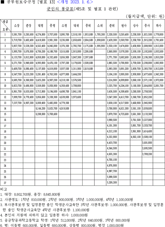
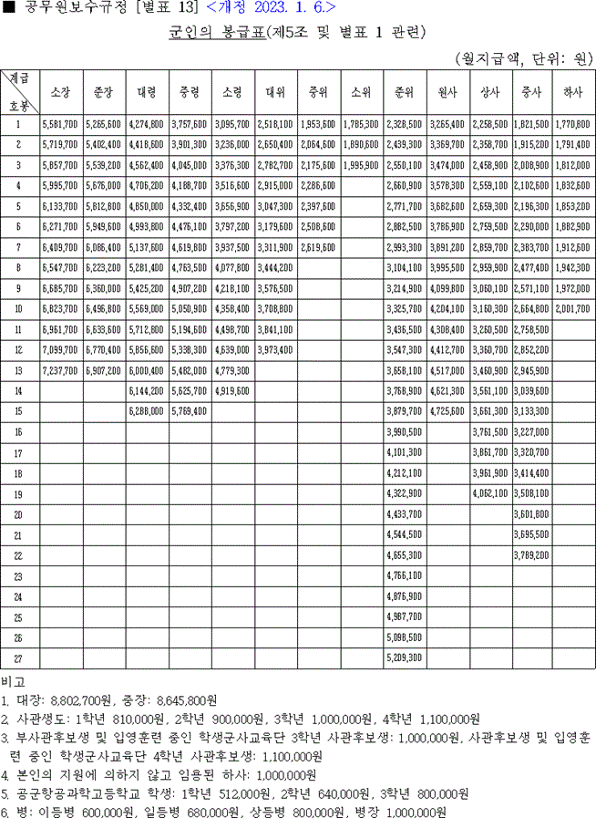
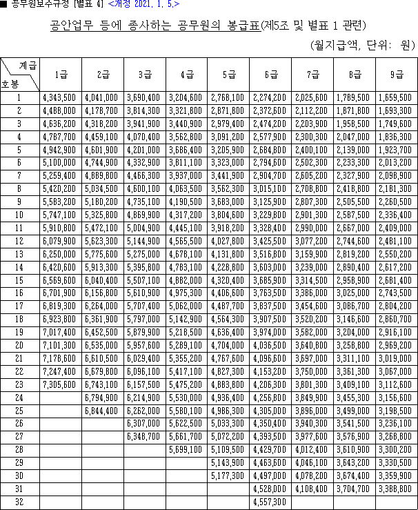
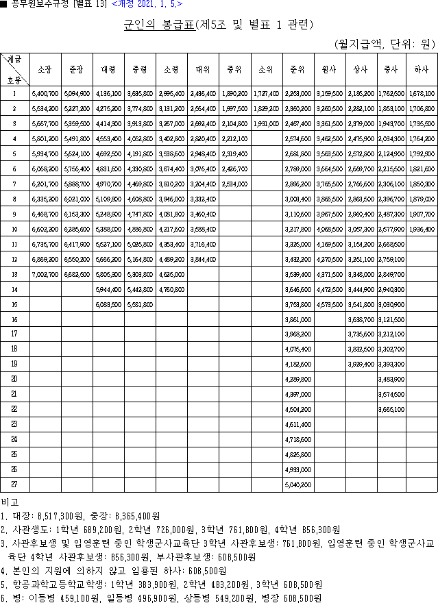
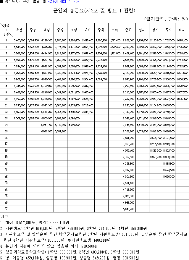
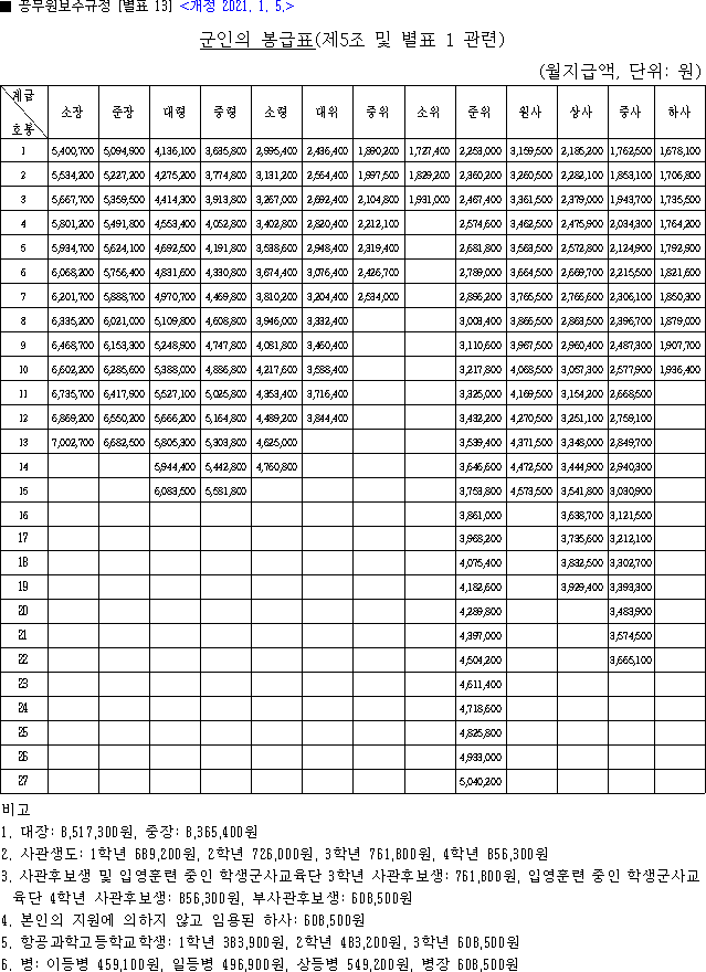
군인 봉급표

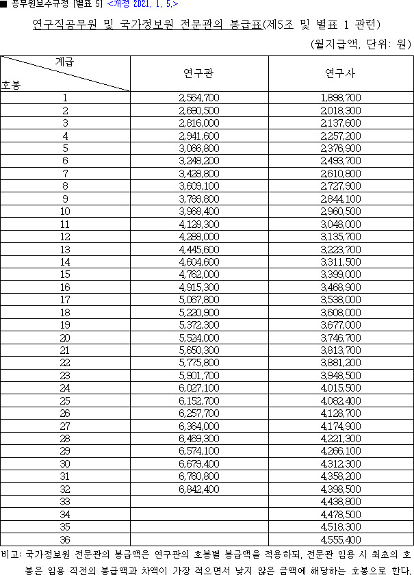
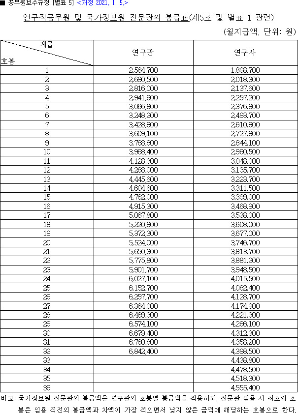
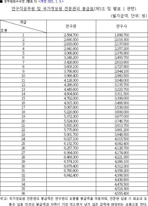
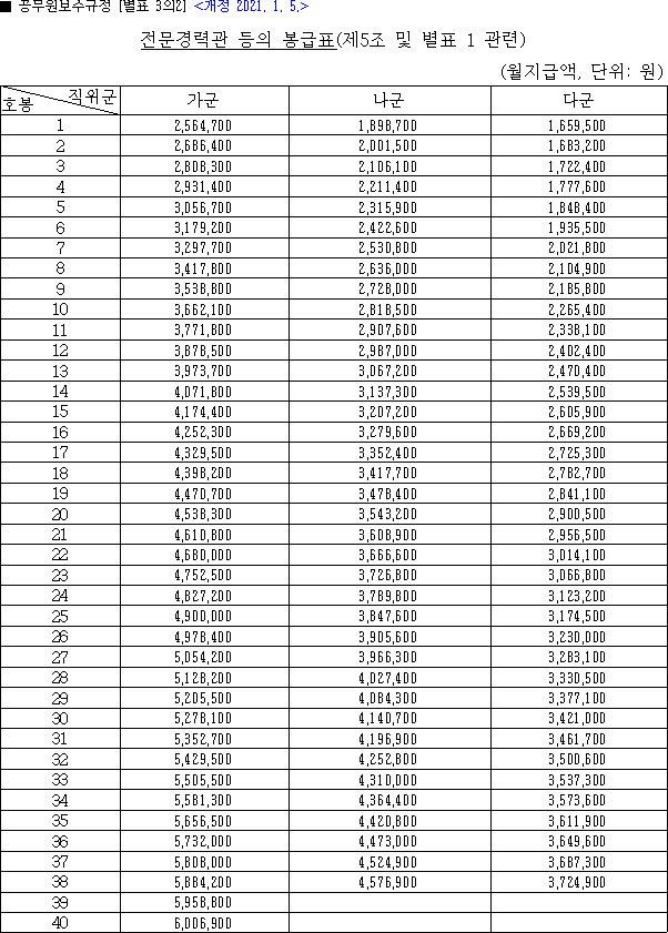
연구직 공무원 봉급표 및 국가정보원 건문관의 봉급표

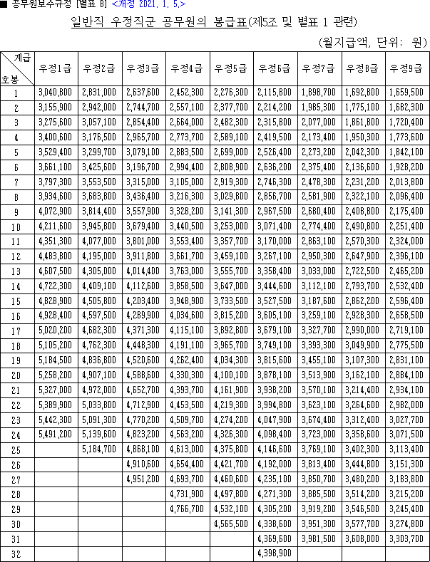
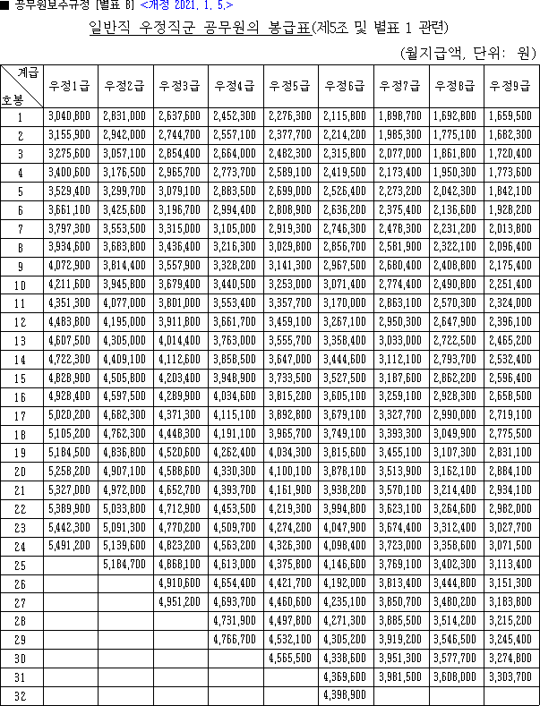
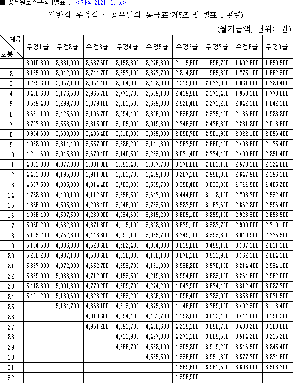
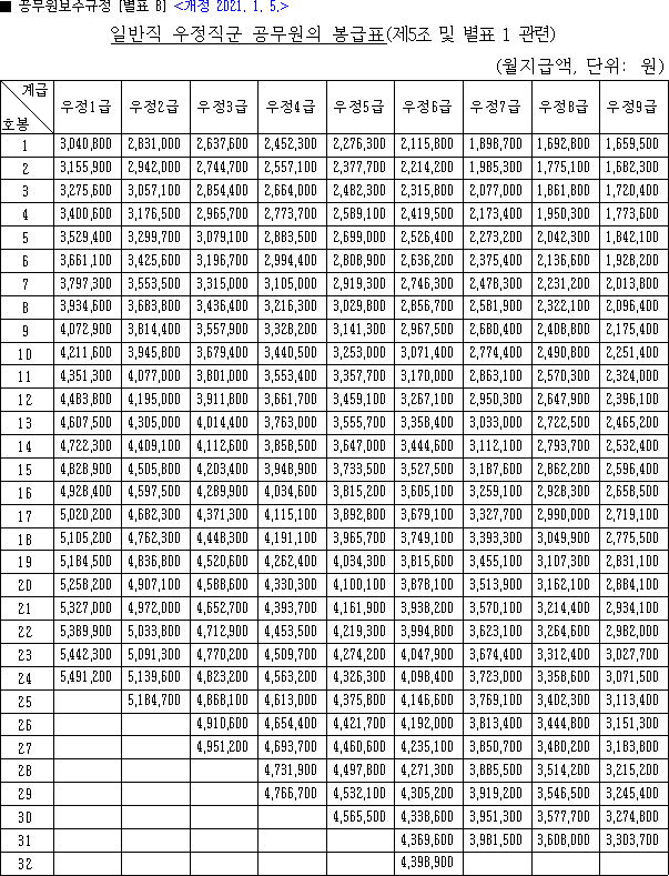
일반직 우정 직군 공무원 봉급표 집배원 월급 표





댓글